NMC HM41 Right to Know Personal Protection Numbers and Symbols Label, 4" Length x 6" Height, Pressure Sensitive Vinyl, Blue on White (Pack of 10)
Current Price
$16.59
Average
$10.35
Min Price
$2.66
Max Price
$23.31
Price dynamics
38%
Price will be lower
in next 2 weeks
in next 2 weeks
According to the data, price will be lower in next two weeks, so not waste your money and track better price!
Product review & video
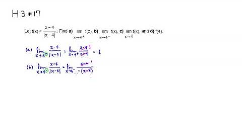
all right uh let's look at the homework three uh problem number 17. all right so we have this function f of x is equal to x minus four over absolute value of x minus four all right then we want to find a limit so let's look at part a so uh part a we want to take the limit as x approaches four from the positive side from the right and the function is x minus 4 over absolute value of x minus 4. all right so we need to get rid of the absolute value here all right so notice that that since we're approaching uh from the right hand side you can think of x being slightly larger than four so if you plug in something larger than 4 for x that's going to be a positive value so absolute value sign really doesn't do anything because the quantity is already positive so you can actually eliminate the absolute value sign so you have x approaches 4 from the right so this is really the same thing as x mi


