Radnor 4 1/2'' X 5 1/4'' Shade 14 Heat Treated Gla
Price is below average
Current Price
$3.59
Average
$12.17
Min Price
$2.02
Max Price
$19.89
Price dynamics
71%
Price will be lower
in next 2 weeks
in next 2 weeks
According to the data, price will be lower in next two weeks, so not waste your money and track better price!
Product review & video
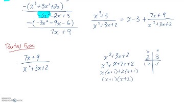
so here were asked to perform the integral of x cubed plus three over x squared plus 3x plus two so looking at this the first thing I kind of realize is that the bottom line here has a degree of two okay in other words we've got an x squared term so what we're going to need to do is partial fractions to get rid of that and go down to just having a degree of 1 and once we've got that we know that we can evaluate the integral of 1 on X as just being equal to the natural log of X ok so in order to do our partial fractions and split it up the other thing we need to think about is what's on the top line and we can see at the moment that the order of the degree of the top line is higher than the degree of the bottom line so that tells us that the first step is going to be doing polynomial long division in order to get the degree of this top line down and then once we've done that we can jump


